½üÈÕ£¬×ÊÁÏѧԺ2019¼¶Ë¶Ê¿×êÑÐÉúÁÖÉêÒÔµÚÒ»×÷ÕßÔÚ¹ú¼ÊÄÜÔ´×ÊÁ϶¥¼¶ÆÚ¿¯¡¶Advanced Energy Materials¡·£¨Ó°ÏìÒò×Ó£º29.6£©°ä·¢ÌâΪ¡°Reclaiming neglected compounds as promising solid state electrolytes by predicting electrochemical stability window with dynamically determined decomposition pathway¡±(https://doi.org/10.1002/aenm.202201808)µÄÔ´´×êÑÐÂÛÎÄ¡£CA88ΪµÚһͨѶ×÷Õßµ¥Ôª£¬CA88ʩ˼Æë½ÌÊںͽËÕʦ·¶´óѧÁÖÓêä츱½ÌÊÚΪ¹²Í¬Í¨Ñ¶×÷Õß¡£
È«¹Ì̬µç³ØÒòÆä°²È«ÐԺá¢ÄÜÁ¿Ãܶȴ󼰺ÏÓÃÁìÓò¹ãµÅ×ŵ㣬±»ÒÔΪÊÇÓµÓÐÔ¶¾°µÄÐÂÒ»´ú´¢ÄÜÆ÷¼þ¡£¹Ì̬µç½âÖÊÊǹÌ̬µç³ØµÄÖ÷Ìâ×é¼þ£¬ÃÎÏëµÄ¹Ì̬µç½âÖÊ£¨solid state electrolytes£¬SSEs£©Ó¦¾ß±¸½Ï¿íµÄµç»¯Ñ§²»±ä´°¿Ú£¨electrochemical stability window£¬ESW£©¡£Ä¿Ç°ESWÔ¤²â²½ÖèÖØÒª·ÖΪֱ½Ó·Ö»¯·ÖÎö²½Ö裨direct decomposition analysis method£¬DDAM£©ºÍ¼ä½Ó·Ö»¯·ÖÎö²½Ö裨indirect decomposition analysis method£¬IDAM£©£¬½ö±ðÀëºÏÓÃÓÚÈÈÁ¦Ñ§ºÍ¶¯Á¦Ñ§ÓÐÀûµÄµç»¯Ñ§·Ö»¯·ÖÎö£¬Õ⽫µ¼ÖÂijЩ×ÊÁϵÄESWÔ¤²âֵƫÀë³¢ÊԲⶨÁ˾֡£·ÖÎö²½Ö辫¶ÈµÄ²»¼°»áʹSSEµÄÔ¤²âºÍɸѡ³ÉЧǷ°²£¬Òò¶ø¼«¶ÈÓбØÒª¶ÔESW·ÖÎö²½Öè½øÐÐÈںϺ͸Ľø¡£
¸ÃÂÛÎÄÌá³öÁËÒ»ÖÖÈÚºÏDDAMºÍIDAMµÄ¸ß¾«¶ÈESW·ÖÎö²½Ö裬²¢»ùÓڴ˲½Öè¶Ô¸Ã¿ÎÌâ×éÏÈǰËùÍÚ¾òµÄLi¿ìÀë×Óµ¼ÌåµÄESW½øÐиßͨÁ¿ÍÆË㣬Á˾ÖÓëÏÖÓг¢ÊÔÊý¾ÝÒ»Ö¡£ÆäÖÐÓÐ6ÖÖÒÔǰδ±»±¨Â·¹ýµÄ×ÊÁÏչʾÁË¿íESW¡¢½Ï¸ß¿¹Ñõ»¯µçÊÆ¼°ÓÅÒìµÄÏ಻±äÐԺͽçÃæ²»±äÐÔ£¬ÊÇÓµÓп϶¨ÀûÓÃDZÁ¦µÄ¹Ì̬µç½âÖÊ¡£ÍÆËãɸѡ¹ý³ÌÈçͼ1Ëùʾ¡£

ͼ1.¸ßͨÁ¿É¸Ñ¡SSEsÁ÷³ÌʾÒâͼ¡£
ÖØµãÒ»£ºÈÚºÏDDAMºÍIDAMµÄ¸ß¾«¶ÈESW·ÖÎö²½Öè
ESWÊÇÒÔSSEµÄÑõ»¯µçÊÆÎªÉÏÏÞ£¬»¹ÔµçÊÆÎªÏÂÏ޵ĵçÊÆÇø¼ä£¬¸ÃÇø¼äÅúʾÁËSSEÕý³£¹¤×÷µÄµçÊÆÁìÓò¡£´«Í³µÄESW·ÖÎö²½Öè·ÖΪDDAMºÍIDAM£¬ÆäÖÐDDAMÒÔÌØ¶¨µçÊÆÏµľÞÊÆ°¼Í¹ÅжÏSSEµÄ·Ö»¯µçÊÆ¼°·Ö»¯²úÆ·¡£¶øIDAMÒÔΪSSEÔÚά³ÖԽṹµÄÇé¿öϽøÐÐÒÆ¶¯½ðÊôÔ×ÓµÄǶÈë/ÍѳöÊǶ¯Á¦Ñ§ÉÏ×îÓÐÀûµÄ»¹Ô/Ñõ»¯·´Ó³¡£DDAMºÍIDAM½ö±ðÀëºÏÓÃÓÚÈÈÁ¦Ñ§ºÍ¶¯Á¦Ñ§ÓÐÀûµÄµç»¯Ñ§·Ö»¯·ÖÎö£¬ÎªÌá¸ß·ÖÎöÔ¤²â¾«¶È£¬ÎÄÕ½«¶þÕßÈںϣ¬Í¨¹ýSSE·Ö»¯²úÆ·µÄµç×ӵ絼Âʶ¯Ì¬ÅжÏÈÈÁ¦Ñ§»ò¶¯Á¦Ñ§ÓÐÀûµÄ·Ö»¯Â·Ïߣ¬Ëã·¨Á÷³ÌÈçͼ2Ëùʾ¡£

ͼ2.Èںϲ½ÖèË㷨ʾÒâͼ¡£
ÖØµã¶þ£ºÈںϲ½ÖèϵĸßͨÁ¿ESWÍÆËã·ÖÎö

ͼ3.SSEsµÄESWºÍÀë×ÓÊäÔËÐÔʾÒâͼ¡£
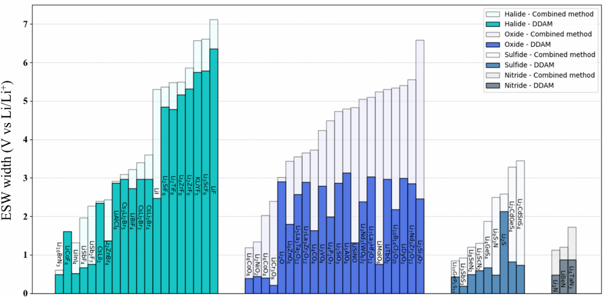
dzÀ¶É«µã°µÊ¾Èںϲ½ÖèµÄÔ¤²âESW¿í¶Å×ëDDAMµÄÒ»Ñù£¬·´Ö®ÎªÉîÀ¶É«µã¡£ÏàÓ¦¶þάͶӰµãÏÔʾΪ×ó²àµÄ·ÛºìÉ«Èý½ÇÐΡ¢ÓÒ²àµÄ³ÈÉ«Îå½ÇÐǺ͵ײ¿µÄ×ÏɫԲȦ¡£Á½¸öºáÖáÉϵÄRTºÍEb±ðÀëΪSSEs×ÔÓÉ´«ÊäµÄ×î´óÀë×ӵİ뾶ºÍBVSEÄÜÀÝ¡£×ÝÖáΪÈںϲ½ÖèÔ¤²âµÄESW¿í¶È¡£6ÖÖ»úÄÜÓÅÒìµÄɸѡ»¯ºÏÎﰵʾΪA-F£¬ÆäRT¡¢EbºÍESW¿í¶ÈÏóÕ÷ÔÚÓҲࡣ

ͼ4.4ÖÖ»¯ºÏÎïÔÚÈںϲ½ÖèºÍDDAMϵÄÔ¤²âESW¿í¶È±ÈÁ¦¡£54ÖÖ»¯ºÏÎï·ÖΪ±»¯Îï¡¢Ñõ»¯Îï¡¢Áò»¯ÎïºÍµª»¯Îï¡£
ΪÁËɸѡÁ½È«ÓÅÔ½Àë×ӵ絼ÂʺͿíESWµÄDZÔÚÓÅÒìSSE£¬×÷Õßͨ¹ýÈںϲ½Öè¶Ô¸Ã¿ÎÌâ×éÏÈǰÍÚ¾òµÄ328ÖÖLi¿ìÀë×Óµ¼Ì壨EbÓ×ÓÚ0.7 eV£¬RT´óÓÚ0.05 nm£©½øÐе绯ѧ²»±ä·ÖÎö£¬¾ÀÕýÁË54ÖÖ±»DDAMµÍ¹ÀµÄ×ÊÁϵÄESWÔ¤²âÖµ£¬Á˾ÖÈçͼ3¡¢Í¼4Ëùʾ¡£

ͼ5. Li10GeP2S12£¨LGPS£©ÓëLi7La3Zr2O12£¨LLZO£©ÔÚDDAM¡¢IDAMºÍÈںϲ½ÖèϵÄÔ¤²âESWÓë³¢ÊÔÕÉÁ¿Á˾ֶԱÈͼ¡£
¶ÔÓÚ¿É»ñµÃ³¢ÊÔESWÕÉÁ¿ÖµµÄµç½âÖÊLi10GeP2S12ºÍLi7La3Zr2O12£¬»ùÓÚÈںϲ½ÖèµÄESWÔ¤²âÖµÓë³¢ÊÔÁ˾ÖÎǺϣ¬·ÖÆç·ÖÎö²½ÖèϵÄÍÆËãÁ˾ÖÓë³¢ÊÔÁ˾ֶԺñÈͼ5Ëùʾ¡£
ÖØµãÈý£º¶àÖÖ²»±äÐÔ·ÖÎöɸѡSSEs

ͼ6.£¨a£©ËÄÖÖSSE£¨·ú»¯Îï¡¢Ñõ»¯Îï¡¢Áò»¯ÎïºÍµª»¯ÎµÄ·Ö»¯ÄÜÑõ»¯µçλͼ¡££¨b£©6ÖÖ¿íESW×ÊÁÏ£¨Li2TiF6¡¢Li4ZrF8¡¢KLiYF5¡¢Li2SiF6¡¢Li2ZrF6¡¢Li3ScF6£©ÔÚ0-7 VÄڵķֻ¯ÄÜÇúÏß¡££¨c£©É¸Ñ¡×ÊÁÏÓë¸÷ÀàÕý¼«×ÊÁÏÖ®¼äµÄ·´Ó³ÄÜ¡£ÁùÖÖÓµÓп϶¨ÀûÓÃDZÁ¦µÄ·ú»¯ÎïÒÔ´ÖÌåÏÔʾ¡£
ÎÄÕ½«É¸Ñ¡µÄ³Áµã·ÅÔÚESW±»µÍ¹ÀµÄ×ÊÁÏÉÏ£¬½øÒ»²½¶ÔÆä½øÐÐÁË·Ö»¯ÄÜ¡¢Ï಻±ä·ÖÎöºÍµç¼«-µç½âÖʲ»±äÐÔ·ÖÎö¡£²¿Ãŵç½âÖÊÓµÓнϵ͵ķֻ¯ÄÜ£¬Èçͼ6a¡¢6bËùʾ£¬ÆäÖÐÓÐ6ÖÖÔ¤²â»úÄÜÓÅÒìµÄ·ú»¯ÎïÔçÄêδ±»×÷ΪSSE³Áµã±¨Â·ºÍ×êÑС£ËüÃdzöÏÖ³ö4 VÒÔÉϵĿíESW¡¢½Ï¸ßµÄ¿¹Ñõ»¯µçÊÆ£¨´óÓÚ6 V£©¡¢ÓÅÒìµÄÏ಻±äÐÔ£¨Í¹°üÄÜÓ×ÓÚ1 meV/atom£©ºÍ½çÃæ²»±äÐÔ£¨ÓëÆßÖÖ³£¼ûµç¼«µÄ½çÃæ·´Ó³ÄܵÍÓÚ150 meV/atom£¬Èçͼ6cËùʾ£©¡£
¸Ã¹¤×÷²»½öÓÐÖúÓÚ¼Ó¿ì¸ß»úÄܹÌ̬µç½âÖʵÄÑз¢¿ìÂÊ£¬»¹Îª¸ßͨÁ¿ÍÆËã×êÑÐÌṩÁ˿϶¨µÄÁìµ¼¡£×êÑй¤×÷µÃµ½Á˹ú¶ÈÌìÈ»¿ÆÑ§»ù½ðÒÔ¼°¹ú¶È³ÁµãÑз¢´òËãÏîÖ÷ÕÅÔÞÖú¡£