×ÊÁÏ»ùÒòÔºÑî¾¼½ÌÊÚÍŶÓÓëÎ人´óѧºÏ×÷µÄ×êÑгɾÍÔÚ¡¶Energy & Environmental Science¡·Éϰ䷢

°ä²¼¹¦·ò£º2023-11-30Ͷ¸å£ºÂÀÌÎ ²¿ÃÅ£º×ÊÁÏ»ùÒò×鹤³Ì×êÑÐÔº ä¯ÀÀ´ÎÊý£º

CA88×ÊÁÏ»ùÒò×鹤³Ì×êÑÐÔºÑî¾¼½ÌÊÚÍŶӺÍÎ人´óѧÁõ»Ý¾ü½ÌÊÚÍŶӵȽáºÏµÚÒ»ÐÔµÀÀí¸ßͨÁ¿ÍÆËãºÍ²£¶û×ÈÂüÊäÔËÀíÂÛµÈÖ¸³öÁËÒ»¸ö³Ö¾Ã±»ºöÊӵIJ½Ö裬¼´Í¨¹ý°Ñ³Öµç×ÓȺ¿ìÂÊÀ´ÌáÉýϵͳµÄÔó±´¿ËϵÊý¡£Ñî¾¼½ÌÊÚÓëÎ人´óѧÁõ»Ý¾ü½ÌÊÚΪ¹²Í¬Í¨Ñ¶×÷Õߣ¬¸Ã×êÑгɾÍÓÚ±±¾©¹¦·ò2023Äê11ÔÂ23ÈÕÒÔ"Enhancing the electrical transport properties of two-dimensional semiconductors through interlayer interactions"ΪÌâ°ä·¢ÔÚ¹ú¼Ê³ÛÃûÆÚ¿¯¡¶Energy & Environmental Science¡·£¨×îÐÂÓ°ÏìÒò×Ó£º32.5£©ÉÏÔÚÏß°ä·¢(Energy & Environmental Science£¬https://pubs.rsc.org/en/content/articlepdf/2023/ee/d3ee03454b)¡£

ÔÚÇó½âµçÊäÔËϵÊýµÄ²£¶û×ÈÂüÊäÔË·½³ÌÖУ¬¶Ôµçµ¼ÂʺÍÔó±´¿ËϵÊýÆð¾ö¶¨ÐÔ×÷ÓõÄÊÇÊäÔËÆ×º¯Êý£¨TD=DOS?¡¼v_k¡½^2?¦Ó_k£©,ËüÔ̺¬Á˵ç×Ó̬Ãܶȡ¢Èº¿ìÂʺͳÚÔ¥¹¦·ò¡£½ü¶þÊ®ÄêÀ´ÏÕЩËùÓеÄÈȵç×ÊÁϵçÊäÔËÐÔÖʵ÷¿Ø¶¼¼¯ÖÐÔÚµç×Ó̬ÃܶÅ×ë³ÛÔ¥¹¦·ò£¬¼´ÄÜ´øÓëÉ¢Éäµ÷¿ØÕ½Êõ¡£È»¶øÈº¿ìÂʶÔÓÚÔó±´¿ËϵÊýµÄÌáÉý×÷ÓÃÊÇÒ»¸ö³Ö¾Ã±»ºöÊӵijɷÖ¡£¾¿ÆäÔ­ÒòÖØÒªÊÇ´«Í³µÄµçÊäÔËÀíÂÛÖÐʹÓÃÁ˼ò»¯µÄÄÜ´ø´ó¾Ö½øÐÐÉϲãµÄ¹«Ê½ÍƵ¼£¬Ôì³ÉÁ˶ÔȺ¿ìÂʳ־õĺöÊÓ¡£ÔÚ±¾¹¤×÷ÖУ¬½áºÏ»ïÁÏÉè¼ÆµÄÀíÏ룬ͨ¹ý¶þά×ÊÁϵIJã¼äÏ໥×÷ÓÃÀ´Ôö³¤Èº¿ìÂÊ£¬Äܹ»ÊµÏÖÌáÉýÔó±´¿ËϵÊýµÄÖ÷ÕÅ£¨Í¼1£©¡£¸Ã¹¤×÷»ùÓÚMatHub-2dÊý¾Ý¿âÖеĵ¥²ã¶þά×ÊÁϹ¹½¨ÁË204¸öË«²ãϵͳ£¬²¢¶ÔÆäµç×ӽṹºÍµçÊäÔËÐÔÖʽøÐÐÁ˸ßͨÁ¿É¸Ñ¡¡£×êÑз¢ÏÖ²ã¼äÏ໥×÷ÓÃÆÕ±éµ¼ÖÂÄÜ´ø²úÉú±ä¶¯¡£ÔÚ129¸ö¸÷ÏòͬÐÔϵͳÖУ¬ÓÐ34¸öË«²ãϵͳ±ÈÏàÓ¦µÄµ¥²ãϵͳ²û·¢³ö¸ü¸ßµÄ¹¦ÂÊÒò×Ó£¨Í¼2£©¡£³ÁÒªµÄÊÇ£¬As2I6¡¢Sb2I6ºÍ MoSe2Ë«²ãϵͳÖÐÔó±´¿ËϵÊýµÄÌá¸ß¿É¹éÒòÓÚµç×ÓȺ¿ìÂʵÄÔö³¤£¬ÕâÓë¼±¾çµÄµç×Ó̬ÃܶÅ×ÐÀûÓÚÈȵç»úÄܵķ¶Ê½·ÖÆç¡£´Ë±í£¬»¹Äܹ»Í¬Ê±¼ÓÇ¿µçµ¼ÂÊ£¬ÕâÔڿ϶¨Ë®Æ½ÉϽâñîÁËÔó±´¿ËϵÊýºÍµçµ¼ÂÊ¡£

1.jpg

ͼ1 ͨ¹ý²ã¼äÏ໥×÷ÓÃÔö³¤µç×ÓȺ¿ìÂÊ£¬ÊµÏÖÔó±´¿ËϵÊýºÍµçµ¼ÂÊͬʱÌáÉýµÄʾÒâͼ¡£

2.jpg

ͼ2 Ë«²ã¸ßͨÁ¿É¸Ñ¡Á÷³Ìͼ£¬¼°166¸ö°ëµ¼ÌåË«²ãÄÜ´ø·á˶±ä¶¯µÄʾÒâͼ¡£

ΪÁ˸üºÃµØÀí½âË«²ãÖнϴóµÄȺ¿ìÂÊÄܹ»ÌáÉýÔó±´¿ËϵÊýµÄÔ­Òò£¬¸Ã¹¤×÷ÒÔAs2I6ϵͳΪÀý½øÒ»²½·ÖÎö¡£Èçͼ3Ëùʾ£¬ÓëCBMλÓÚ¦££¨Nv=1£©µãµÄµ¥²ãÏà±È£¬As2I6Ë«²ãµÄCBMÔÚ¦£-K·½ÏòÉÏ£¬ÓµÓнϴóµÄ¹È¼ò²¢¶È£¨Nv=6£©¡£²¢ÇÒ£¬Ë«²ãµÄÄÜ´øÔÚ¦£µã´¦ÓÐÒ»¸öÓëCBMÄÜÁ¿ºÜ¿¿½üµÄµÚ¶þµ¼´øµ×¡£ÒÔÉÏÄÜ´øÌصãʹµÃAs2I6Ë«²ãÔÚȺ¿ìÂÊÔö³¤µÄͬʱά³ÖDOSÏÕЩ²»±ä£¬µ¼ÖÂÊäÔËÆ×º¯ÊýµÄÔö³¤£¬´Ó¶øÊµÏÖÔó±´¿ËϵÊýºÍµçµ¼ÂʵÄͬʱÌáÉý£¨Í¼4£©¡£Í¨¹ýCOHPsºÍ²¨º¯Êý·ÖÎö·¢ÏÖ£¬ÐγÉË«²ã½á¹¹£¬²ã¼äÏ໥×÷ÓöԵç×ÓÄÜ´ø½á¹¹ºÍȺ¿ìÂʵÄÔö³¤ÓгÁÒªÐÔÓ°Ïì¡£

3.jpg

ͼ3 As2I6Ë«²ãµÄ¾§Ìå½á¹¹£¬¼°As2I6Ë«²ãºÍµ¥²ãµÄµç×ÓÄÜ´ø½á¹¹¡£

4.png

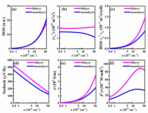
ͼ4 As2I6Ë«²ã¼°Æäµ¥²ãÔÚ300Kʱ£¬µçÊäÔËϵÊýËæÔØÁ÷×ÓŨ¶ÈµÄ±ä¶¯¹ØÏµ¡£

ÔÚ±¾´ÎEnergy & Environmental ScienceµÄ¹¤×÷ÖУ¬Î人´óѧ¡¢CA88µÈ¸ßУ֮¼äµÄºÏ×÷£¬²»½ö˵ÁËÈ»²ã¼äÏ໥×÷Óõ÷½ÚÄÜ´ø½á¹¹µÄ×÷Ó㬻¹Ç¿µ÷ÁËȺ¿ìÂʶÔÓÚͬʱ¼ÓÇ¿Ôó±´¿ËϵÊýºÍµçµ¼ÂÊÖÁ¹Ø³ÁÒª£¬ÎªÌáÉý×ÊÁϵÄÈȵç»úÄÜÌṩÁËеÄÊӽǡ£Î人´óѧÎïÀí¿ÆÑ§Óë¼¼ÊõѧԺ²©Ê¿×êÑÐÉúÌÆÇ캽£¨CA88×ÊÁÏ»ùÒò×鹤³Ì×êÑÐÔº½áºÏÔì¾Í£©ÎªµÚÒ»×÷Õß¡£CA88×ÊÁÏ»ùÒò×鹤³Ì×êÑÐÔºÑî¾¼½ÌÊÚ¡¢Î人´óѧÎïÀí¿ÆÑ§Óë¼¼ÊõѧԺÁõ»Ý¾ü½ÌÊÚΪÂÛÎĹ²Í¬Í¨Ñ¶×÷Õß¡£¸Ã¹¤×÷µÃµ½Á˹ú¶ÈÌìÈ»¿ÆÑ§»ù½ðί¡¢Õ㽭ʡ֮½­³¢ÊÔÊҵĺÏ×÷Ö§³Ö¡£


¡¾ÍøÕ¾µØÍ¼¡¿