½üÈÕ£¬ÀíѧԺ»¯Ñ§ÏµÕÔºê±õ½ÌÊÚ¿ÎÌâ×éÔÚ»¯Ñ§´óÀàÒ»ÇøÆÚ¿¯¡¶Applied Catalysis B: Environment and Energy¡·Éϰ䷢Á˱êÌâΪ¡¶High DHA selectivity and low-cost electrode for glycerol oxidation: CuO regulates MnO2 electron density to promote DHA desorption¡·µÄÎÄÕ¡£CA88ÀíѧԺΪ±¾ÂÛÎĵĵÚһʵÏÖµ¥ÔªºÍͨѶµ¥Ôª£¬ÀíѧԺ»¯Ñ§Ïµ21¼¶Ë¶Ê¿×êÑÐÉú»Æ×Ó½¡ÎªµÚÒ»×÷Õߣ¬ÀíѧԺÕÔºê±õºÍÒ¶´úÐÂΪ¹²Í¬Í¨Ñ¶×÷Õß¡£
¸ÊÓÍÊÇÉúÎï²ñÓÍÔ챸µÄ°Î³ýÎÀûÓøÊÓÍÔ챸µÃµ½¸ß¼ÛÖµµÄ»¯Ñ§Æ·±¸ÊܹØ×¢¡£Í¬Ê±ÀûÓøÊÓ͵çÑõ»¯(GOR)È¡´úµç½âË®ÖÐÎöÑõ·´Ó³ÌáÉýµç½âЧÄÜÊÇÒ»Ï¶ÈÓÐЧµÄ½ÚÄÜõè¾¶¡£
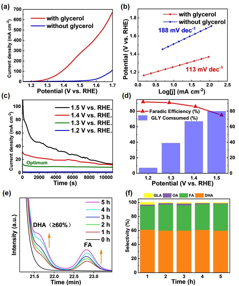
±¾¹¤×÷ͨ¹ýË®ÈÈ·¨¹¹½¨ÍÃÌ×ÔÖ§³Öµç¼«(MnO2-CuO/CF)£¬ÊµÏÖÁËÔÚ1.3 Vµçѹ϶Ô1,3-¶þôÇ»ù±ûͪ(DHA)µÄÑ¡ÔñÐÔΪ60%¡£Í¨¹ýDFT·ÂÕÕ½ÒʾÁËÑõ»¯ÍºÍ¶þÑõ»¯ÃÌÖ®¼äµÄÐͬЧӦ£¬¼ÓÇ¿Á˶ԸÊÓ͵ÄÎü¸½¡£Ñõ»¯ÍºÍ¶þÑõ»¯Ã̵ijÁµþ¹¹ÐÍÒýÆð¶þÑõ»¯ÃÌÉϵĵç×ÓÃܶȽµµÍ£¬Ô¤·ÀÁËDHA½øÒ»²½Ñõ»¯£¬´Ó¶øÔö³¤ÁËDHAµÄÑ¡ÔñÐÔ¡£Í¨¹ýGORÓëË®µç½âÔìÇâÏàñîºÏ£¬ÊµÏÖÁ˸߸½¼ÓÖµÓлú²úÆ·ºÍ¸ß´¿ÇâµÄË«³Á»ñÈ¡£¬ÎªÂÌÉ«ÔìÇâºÍ¸ß¸½¼ÓÖµ»¯Ñ§Æ·µÄµç»¯Ñ§ºÏ³ÉÌṩÁËȫеÄ˼·¡£

ͼ1 MnO2-CuO/CFµÄ±íÕ÷ºÍDFT·ÂÕÕ

ͼ2 MnO2-CuO/CFµÄµç»¯Ñ§»úÄܺÍÔÚ1.3 VϵIJúÆ·Ñ¡ÔñÐÔ
¸Ã¹¤×÷µÃµ½ÁËÕã½Ê¡³ÁµãÑз¢´òË㣨±àºÅ£º2019C01072£©ºÍÌìÈ»¿ÆÑ§»ù½ðÏîÄ¿£¨±àºÅ£º22002086, 22204096)£©ºÍ¹ã¶«Ê¡È¼ÁÏµç³Ø³Áµã³¢ÊÔÊÒµÄÔÞÖú¡£
È«ÎÄÁ´½Ó£ºhttps://doi.org/10.1016/j.apcatb.2024.123986